28 de março de 2011
Por: Paulo Yokota | Seção: Editoriais, Notícias | Tags: dados regionais para tranquilizar parentes e amigos dos residentes no Japão em diversos idiomas, informações fornecidas pelas autoridades com a ajuda de voluntários, um longo período de radiações
Até as autoridades japonesas começam a admitir que o controle do vazamento da radiação das usinas de Fukushima Daiichi pode demandar muito tempo, preocupando todo o mundo. As radiações, segundo as informações mais atualizadas, foram encontradas nas águas de algumas unidades, não se sabendo exatamente o que está provocando este vazamento, que estão contaminando o mar da proximidade das usinas. Para tranquilizar os parentes e amigos dos residentes no Japão, o governo com a ajuda da tradução de estudantes da Universidade de Keio, está fornecendo informações atualizadas diariamente sobre as radiações constatadas nas diversas municipalidades e províncias, bem como outras informações úteis.
Elas podem ser obtidas em alguns idiomas acessando o site http://eq.wide.ad.jp/index_en.html (favor observar que entre índex e en existe um underline).
No primeiro item do MEXT (Ministério de Educação, Cultura, Esportes, Ciência e Tecnologia), onde aparece Radiation in Daily Life, há um item Exposição à radiação (Portuguese). O gráfico em pdf é muito ilustrativo, mas deve-se alertar que os padrões japoneses são extremamente rigorosos, e são ANUAIS na unidade micro sievert, que é uma medida de radiação. O elevado grau de contaminação de Guarapari, no Estado do Espírito Santo, Brasil, deve-se as areias monazíticas que já foram bastante extraídas. Os dados de tomografia dos equipamentos mais atualizados são mais baixos, mas muitas autoridades preveem a possibilidade de se acumularem no corpo humano durante toda a vida, o mesmo acontecendo com o Raio X.

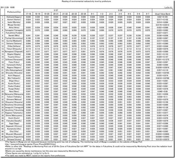
No item seguinte, Reading of environmental radioactivity level by prefecture, acionando-se a província desejada, obtém-se a informação do dia de radiação de diversos pontos da região. Como exemplo, em Fukushima, em pontos de diferentes distâncias das usinas com problemas, são apresentadas em tabelas atualizadas. Tóquio ou outras são apresentadas em gráficos (bairro de Shinjiku), compreendendo diversos dias, inclusive hoje.
No item seguinte, Reading environmental radioactivity level by prefecture, acessando All Prefectures, obtém-se tabelas de ontem e hoje, em muitos horários diferentes, numas tabelas.
Muitos outros dados estão disponíveis, como as águas potáveis, nas poeiras, na água do mar nas proximidades de Fukushima Daiichi, no espaço etc.


Com observação geral, pode-se informar que, ao longo destes terríveis dias de angústia, os dados relacionados às usinas de Fukushima Daiichi são preocupantes, e as autoridades japonesas estão concentradas nelas, junto com a TEPCO, empresa de energia elétrica que as administra, determinando-se a evacuação de sua proximidade. Os dados marítimos indicam que peixes, frutos do mar, algas e outros produtos da região serão afetados.
Mas, no resto do país, depois da constatação de radiações em legumes, leites e derivados e água potável, elas estão baixando consistentemente, com a grande maioria dos locais voltando aos níveis toleráveis, não devendo constituir em preocupações exageradas daqueles que vivem no Japão, bem como dos seus parentes e amigos que vivem em outros países, no mínimo deste ponto de vista.
27 de março de 2011
Por: Paulo Yokota | Seção: Economia, Editoriais | Tags: fundos para a reconstrução, necessidade da cooperação internacional, os problemas cambiais, política e economia | 2 Comentários »
Ninguém duvida que o povo japonês contribuirá com tudo que for necessário para financiar a rápida reconstrução japonesa. O jornal econômico japonês Nikkei anuncia que a Nomura Securities, a maior corretora do Japão, lançou um Fundo Mútuo com o objetivo de ajudar na reconstrução, colocando bônus num montante inicial de 50 bilhões de ienes, cerca de US$ 650 milhões, informando que fará outros, quantos forem necessários. Os recursos serão utilizados para as obras de reconstrução dos governos locais como de empresas privadas.
A Nomura não cobrará nenhuma taxa dos poupadores individuais, e o custo de seu gerenciamento será somente de 0,4% sobre o resultado que se conseguir. Isto significa custos extremamente baixos, mesmo considerando os reduzidos da economia japonesa. E a corretora doará metade dos resultados que obtiver nos socorros das vitimas do desastre natural.

Logotipo da Nomura e estrada reconstruída em apenas sete dias
Leia o restante desse texto »
27 de março de 2011
Por: Paulo Yokota | Seção: Editoriais, Notícias | Tags: diferenças com os japoneses, limitações pelas quais passam, um depoimento de uma brasileira longamente integrada no Japão
O extremamente interessante depoimento da consagrada chef Mari Hirata que, apesar de residente há longo tempo no Japão, continua visitando regularmente o Brasil, registra na Folha de S.Paulo deste domingo as suas impressões sobre a crise que se abateu sobre o Japão. Apesar de residir em Tóquio, teve que enfrentar uma fila no supermercado para comprar leite, água e ovos, ficando impressionada com a paciência dos japoneses com estes inconvenientes. Ela demonstra que continua nipo-brasileira, mas tem a sensibilidade de apreciar uma prematura florada de uma cerejeira nas proximidades do supermercado, dando um toque agradável ao seu depoimento, uma de suas muitas qualidades.
Ela compara a situação como semelhante a de um filme de guerra, e ela certamente não passou por esta experiência, pois é muito jovem para tanto. Os horrores do desabastecimento, inclusive no Brasil, longe do teatro da guerra, exigiam que todos fizessem filas deste as madrugadas frias, por muitas horas, para conseguir um pouco de pão ou farinha. Ninguém subestima as dificuldades, principalmente nas regiões mais afetadas, inclusive pelas contaminações atômicas, que estão vedadas para o trânsito de caminhões que podem levar estes suprimentos à população.

Mari Hirata, chefe de cozinha nipo-brasileira que vive no Japão
Leia o restante desse texto »
27 de março de 2011
Por: Paulo Yokota | Seção: Editoriais, Tecnologia | Tags: dúvidas sobre o não emprego de alternativas, empenho dos responsáveis pelas usinas de Fukushima, transparência
Ninguém pode duvidar que os japoneses possuam tecnologias avançadas em diversos setores, inclusive as relacionadas com as radiações, pois foram os únicos que sofreram os efeitos das bombas atômicas, havendo uma preocupação quase traumática sobre o assunto entre eles. E que elas estão sendo utilizadas para tentar equacionar os problemas das usinas de Fukushima Daiichi que preocupam todo o mundo, não somente os japoneses. Ninguém que esteja longe das dificuldades que eles enfrentam pode, irresponsavelmente, formular sugestões sem correr o risco de colocar questões que mais atrapalham que ajudam.
Mesmo assim, diante de um quadro insuficiente de informações, alguns engenheiros especializados em tecnologia estranham que algumas alternativas não estejam sendo utilizadas. Algumas tarefas executadas por especialistas acabam sendo interrompidas pelo elevado grau de radiação nos locais próximos ou dentro de setores das diversas usinas, afetando-os. Heróicos técnicos acabaram sendo internados em hospitais por terem sofrido lamentáveis danos com radiações, atrasando trabalhos que poderiam acelerar as medidas que poderiam evitar contaminações adicionais como continuam ocorrendo durante o domingo nas águas do mar na proximidade das usinas.

Médicos analisam imagens à distância e robôs cada vez mais completos
Sabe-se que os japoneses estão entre os que possuem maiores avanços na robótica, destacando-se no mundo, sendo objeto de exposição no exterior para demonstrar suas melhores tecnologias. Certamente deve haver algum motivo ainda não esclarecido que impedem o uso de robôs para o desempenho de tarefas que podem prejudicar seres humanos. Seus avanços na transmissão de imagens de lugares adversos, como exemplo, na medicina, assombram a todos no mundo. Nos laboratórios da NHK houve oportunidade para verificar-se o uso de câmeras de alta definição com o sistema digital, que permitiam imagens de locais que não contavam com nenhuma iluminação, até em ambientes que tinham sofridos desabamentos, que podem ter o funcionamento prejudicado pela radiação. Deve haver fortes razões para que elas não sejam utilizadas para constatar os locais dos diversos vazamentos, como por exemplo, das águas contaminadas, mas as informações transmitidas pelo ministro Yukio Edano neste domingo indicam que eles possuem informações para afirmar que não há rachaduras internas na unidade 3 de Fukushima Daiichi, que mais preocupa por utilizar plutônio.
Sabe-se, pelos usos na medicina, que os materiais que evitam a disseminação de radiações são os produzidos com chumbo. Possivelmente existem razões que impedem o seu uso em grande escala no caso destes vazamentos.
Muitas são as vozes, inclusive de autoridades internacionais, que reclamam sobre a falta de total transparência nas informações divulgadas, ainda que autoridades japonesas venham se esforçando para prestá-las com a urgência possível e frequência. Resta à impressão que muitas autoridades envolvidas estão atrapalhadas com diversas alternativas que foram utilizadas, que não resultaram nos efeitos desejados.
Todas as pessoas responsáveis sabem que sempre existem difíceis opções a serem adotadas, com diferentes custos/benefícios. Sempre é fácil formular sugestões sem a responsabilidade de sua execução, mas tudo indica que o intercâmbio internacional de experiências poderia diminuir a impressão da falta de transparência que deve estar preocupando as autoridades japonesas, neste momento inusitadamente difícil.
26 de março de 2011
Por: Paulo Yokota | Seção: Editoriais, Notícias | Tags: NHK e o twitter da @silviakikuchi, outras fontes de atualização, tentando acompanhar a elevada dinâmica dos acontecimentos | 4 Comentários »
Procuro aprender e acompanhar com o estoicismo do povo japonês e procuro manter me informado, retransmitir aos que nos honram com suas visitas notícias objetivas baseadas nos fatos. Nota-se, no entanto, um pequeno aumento das apreensões, principalmente dos habitantes e agricultores das regiões mais próximas às usinas do Fukushima Daiichi. As autoridades ainda não conseguem transmitir notícias positivas que mostrem como serão reduzidos os riscos de contaminação radioativa. Muitas informações atualizadas estão sendo transmitidas pelos programas da NHK, como desta manhã de sábado no Brasil, já noite no Japão. E de meios extremamente úteis, como da jornalista Silvia Kikuchi, do IPCTV JP, que retransmite parte da programação da TV Globo do Brasil, que mantém um twitter @silviakikuchi. Ela está localizada num ponto tão estratégico, com a ajuda de muitos amigos, entre os quais tento me incluir.

Leia o restante desse texto »
26 de março de 2011
Por: Paulo Yokota | Seção: Editoriais, Notícias | Tags: Japão Voltará à Normalidade Mesmo no Seu Nordeste | 2 Comentários »
Diante do desafio imposto ao Japão, o jornal Nikkei publica um artigo com a mentalidade típica da cultura nipônica, com o título “Now’s The Time To Show What Japan Can Do” (pela tradução livre, Agora é Hora do Japão Mostrar O Que Pode Fazer). Como prova, informa que a Toshiba, responsável pela construção da usina Fukushima Daiichi (primeira), enviou 100 dos seus técnicos, que se unem com 120 da sua concorrente Hitachi, para a revisão das usinas de Fukushima Daini (segunda), nas suas partes cruciais. O Japão depende em 30% das 54 usinas atômicas no fornecimento da energia elétrica que consome. O presidente da Toshiba, Norio Sasaki expressou a sua confiança no “senso de responsabilidade e orgulho” dos seus técnicos de alto nível.
O artigo cita, também, os casos concretos de continuidade de suprimento do varejo. A loja da rede Ito-Yokado, de Ishinomaki, província de Miyagi, estava com 200 fregueses quando com do terremoto e ficou sem energia elétrica, gás e água corrente, e eles foram colocados para fora da loja pelos funcionários. Por ordem do presidente da rede, os funcionários receberam ordem de estudar como poderiam prosseguir com suas operações. Três horas após os funcionários fecharem as portas, eles voltaram a operar fora do estabelecimento com dúzias de produtos, como água em garrafa, macarrão instantâneo e baterias. No dia seguinte, estavam com uma fila de 800 pessoas desejando comprar o que se dispunha.

Leia o restante desse texto »
26 de março de 2011
Por: Paulo Yokota | Seção: Editoriais, Notícias | Tags: novos meios eletrônicos, o problema dos jornais, tentando acompanhar a evolução
Entre as inúmeras lições que aprendemos com os lamentáveis problemas enfrentados pelo Japão com os terremotos, tsunamis, radiações e todos os demais problemas associados, notamos os dramas das comunicações. Recebemos de uma brasileira residente no Japão a mensagem que nos gratifica e tomamos a liberdade de tornar pública:
1. Claudia Mera

3 escreveu às 07:57 em 24 de março de 2011:
Moro no interior de Shizuoka e seus textos me deixam tão tranquila quanto o governo dizendo que não há perigo aqui. Queria que minha família no Brasil compartilhasse de minha tranquilidade e confiança de que amanhã será um lindo dia.
GANBARE NIPPON!!!
Leia o restante desse texto »
25 de março de 2011
Por: Paulo Yokota | Seção: Editoriais, Notícias | Tags: exemplos de sites dos brasileiros no Japão, o papel dos meios de comunicação eletrônica
Existem muitos trabalhos comunitários importantes prestados pelos brasileiros que se encontram no Japão, principalmente numa crise como a atual por que se passa no momento. Eles se tornam mais relevantes, e desejo destacar os que estão ajudando e muito no que acontece com eles, e como estão enfrentando os problemas, para maior tranquilidade dos que lá vivem, bem como seus parentes e amigos no resto do mundo.

O site: http://www.web-town.org/ merece especial destaque, pelas ponderadas formas pelas quais transmitem com rapidez muitos dos graves problemas pelos quais estão passando, inclusive parte dos programas brasileiros que informam o público sobre a evolução dos mesmos. Elaboram esclarecimentos úteis para todos os brasileiros, aproveitando o que há de melhor nestes dados, inclusive alguns que podem ser considerados mais agudos.
Os itens relacionados com a COMUNIDADE, que podem ser facilmente acessados, contêm importantes depoimentos que estão sendo prestados pelos brasileiros que vivem naquele país, apontando as suas necessidades. Alertam, também, sobre os malandros que sempre procuram tirar proveitos nos momentos de dificuldade, como na arrecadação de doações.
Só podemos prestar a nossa integral solidariedade, informando inclusive as autoridades brasileiras sobre a necessidade de ampliar a assistência a estes heroicos patrícios.
24 de março de 2011
Por: Paulo Yokota | Seção: Editoriais, Notícias | Tags: dificuldades de assistência, estoicismo do povo japonês, fracasso do Estado, relações espúrias das empresas com os políticos
A importante revista de influência mundial, The Economist, editada em Londres, expressa duramente o que alguns japoneses podem pensar, mas não ousam explicitar. Ao mesmo tempo em que elogia o estoicismo do povo japonês diante de um incompreensível desastre natural, colocam de forma implacável suas críticas à ineficiência do Estado e do governo. Registram que a assistência às vitimas demorou a chegar, com o lamentável governo do primeiro-ministro Naoto Kan concentrando suas atenções aos problemas das usinas atômicas de Fukushima Daiichi, onde ficou evidente a ineficiência da empresa TEPCO.
A revista registra que no episódio de Kobe já ficou evidente a ineficiência do Estado e do governo, fazendo com que os eleitores japoneses interrompessem o longo período em que sua política foi dominada pelo LDP – Partido Liberal Democrata, que acabou sendo substituído pelo DPJ – Partido Democrata do Japão que comanda o atual governo. Mas as promessas de mudanças não ocorreram. O governo demorou em conscientizar-se da magnitude do desastre, e o estoque de reserva estratégica de gasolina só foi acionado depois de dias, segundo The Economist.


Logotipo do The Economist, que faz duras críticas ao primeiro-ministro Naoto Kan
Leia o restante desse texto »
24 de março de 2011
Por: Paulo Yokota | Seção: Cultura, Editoriais | Tags: comportamentos diferentes diante dos riscos atuais no Japão, estrangeiros que estão se afastando das regiões de maior risco | 2 Comentários »
As empresas japonesas estavam num processo para aumentar a presença de estrangeiros nos seus quadros de funcionários, inclusive nas suas unidades no Japão. O jornal The Wall Street Journal, num artigo reproduzido em português pelo jornal Valor Econômico, mostra as dificuldades que estão ocorrendo entre eles, pois muitos estrangeiros que passaram a ser chamados de “flyjin”, uma fusão simplificada de duas palavras fly (voar) e gaijin (estrangeiro), procuraram se afastar das regiões que consideram de maior risco, inclusive para o exterior.
Lamentável e compreensivelmente, alguns países recomendaram aos seus cidadãos saírem do Japão, diante das contaminações baixas de radiações, além da continuidade dos terremotos, secundários para outras cidades asiáticas como Hong Kong, Cingapura ou localizadas mais ao sul, como a ilha de Okinawa, Osaka. Em sua maioria, elas apresentam idênticas dificuldades de terremoto ou efeitos mais graves de tsunami.


Leia o restante desse texto »